Karstedt catalysts
Karstedt catalysts promote a quick, low temperature curing of the hydrosilylation reaction. They form silicone elastomers through an addition curing cross-linking reaction between Si-vinyl and Si-H groups. The fast cure version is a high activity form of Karstedt catalyst promoting rapid curing under ambient conditions, used to cross-link silicone polymers in two-part RTV silicone systems.
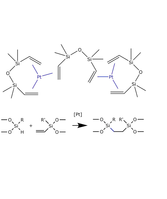
In the catalyst, platinum is in the zero oxidation state with no co-ordinated chlorides.

Benefits of Karstedt catalysts include:
- High stability with low colour and turbidity
- Cross-linking between the vinylsiloxane and silyl is possible at temperatures below 50°C with no by-product formation.
- Being supplied in solution for easy dosing and formulation
We provide formulations to meet your specific process and through our advanced manufacturing processes we ensure tight controls on catalyst concentration, stability, viscosity and inhibition. If it is not listed on this site please contact our technical team with your specific requirements.
Karstedt in vinyl terminated polydimethylsiloxane
| Platinum content | Viscosity | Form | Product codes * |
| 0.05% (0.04-0.06 % w/w) | 500 cSt | Liquid | UK - 189142 |
| 0.1% (0.08 – 0.12 % w/w) | 500 cSt | Liquid | UK - 189131 CN - FM04PT0006 |
| 1% (0.8 – 1.2 % w/w) | 500 cSt | Viscous liquid | US - C1218A |
| 1% (0.8 – 1.2 % w/w) | 1000 cSt | Viscous liquid | UK - 189134 US - C1219 |
| 2% (1.8 – 2.2 % w/w) | 200 cSt | Viscous liquid | US - C1148 |
| 2% (1.8 – 2.2 % w/w) | 500 cSt | Viscous liquid | US – C1218B |
| 2% (1.8 – 2.2 % w/w) | 1000 cSt | Viscous liquid | UK - 189138 US – C1142A |
| 10% (8 – 11.5 % w/w) | 200 cSt | Liquid, flammable | UK – 189132 |
| 10% (8 – 11.5 % w/w) | 500 cSt | Liquid, flammable | UK – 189122 |
| 10% (9.8 – 10.2 % w/w) | 1000 cSt | Viscous liquid | US - C1220 |
* products can be ordered worldwide using these product codes
Colour: colourless/light yellow
Karstedt in decamethylcyclopentasiloxane
| Platinum content | Form | Product codes * | Colour |
| 1.5% (1.45 – 1.55 % w/w) | Liquid, flammable | UK – 189124 |
Colourless/light yellow |
* products can be ordered worldwide using these product codes
Karstedt in divinyltetramethyldisiloxane
Promotes the hydrosilylation reaction in addition cure systems at elevated temperature, with a long pot life at room temperature.
| Platinum content | Form | Product codes* | Colour |
| 2% (1.8 – 2.2 % w/w) | Liquid, flammable | US – C1156 | Yellow |
*products can be ordered worldwide using these product codes
Karstedt in tetravinyltetramethylcyclotetrasiloxane
This stabilised Karstedt catalyst formulation provides a long pot life plus rapid curing with low product yellowing when heated.
Chemical formula
Pt(2,4,6,8-tetravinyl-2,4,6,8-tetramethyl-cyclotetrasiloxane)x
CAS number
68585-32-0
| Platinum content | Form | Product codes* | Colour |
| 2% (1 – 3 % w/w) | Liquid | UK – 189129 | Colourless/pale yellow |
| 2-5% (2.0 – 5.0 % w/w) | Liquid | UK - 189140 |
Colourless/pale yellow |
| 3% (2.4 – 3.6 % w/w) | Liquid | UK - 189136 | Colourless/pale yellow |
*products can be ordered worldwide using these product codes
Karstedt in Xylene
| Platinum content | Form | Product codes* | Colour |
| 2.1 – 3.3 % w/w | Liquid | UK – 189121 US: C1217 |
Colourless/pale yellow |
*products can be ordered worldwide using these product codes
9% Karstedt
| Platinum content | Form | Product codes* | Colour |
| 9% (8 - 11 % w/w) | Liquid, flammable | UK - 189123 CN - FM04PT0004 |
Yellow |
*products can be ordered worldwide using these product codes
20% Karstedt Concentrate
The high Pt concentration in this Karstedt catalyst allows additions of small quantities of catalyst to formulation batches.
| Platinum content | Form | Product codes* | Colour |
| 20% (19 – 21.5 % w/w) | Liquid, flammable | UK - 189125 US - C1159 |
Yellow |
*products can be ordered worldwide using these product codes
FAQs
How should I store the Karstedt catalyst?
It depends on the platinum concentration and the formulation; Please refer to the relevant safety data sheets and handling advice provided.
9% Karstedt is stable at room temperature, 20% Karstedt concentrate is more temperature sensitive and should be kept refrigerated.
In general, Karstedt catalysts are not particularly light sensitive but we advise storage out of direct sunlight.
The product is immiscible with water; high moisture levels can cause turbidity in the catalyst (for example transient turbidity when the bottle is removed from the fridge). If there is a lot of water present then decomposition can sometimes be seen at the water/organic solvent phase boundary.
Would using molecular sieves help to keep out moisture?
The Karstedt catalyst is not highly moisture sensitive so moisture removal is probably not required. A small amount of platinum will be lost into the molecular sieves thereby slightly reducing its catalytic activity. This will probably counteract any advantage of using molecular sieves to dry it.
What are the differences between hydrosilylation and Sn condensation?
Both hydrosilylation and condensation can be used to make silicone polymers, however there is increasing concern about the health risks of Sn. Condensation also produces water as a by-product, affecting the shape of the final silicone; hydrosilylation offers better shape control as there is no by-product from the addition reaction.
How does the performance of the Karstedt catalyst compare with that of solid/supported Pt catalysts?
Karstedt catalyst is a homogeneous catalyst and requires a lower Pt loading than heterogeneous (supported) catalysts where less of the Pt sites are available for reaction. However, with a liquid product it may be possible to filter off the supported Pt catalyst and either reuse it or recover platinum from it.
How do I mitigate hydrogen gas evolution?
If H2 gas evolution from a side reaction of the silane reagent with water becomes a problem, palladium black 400/3A at 10 - 15 ppm is effective at removing hydrogen, or 5% Pd on calcium carbonate can also be used. These products will add some colour to the final product.
What can poison the Karstedt catalyst?
Common poisons are amines, phosphorus compounds, sulphur compounds, arsenic and tin. Where tin is used to catalyse condensation curing, it is best to alter the process order with any Sn catalysed condensation steps after the hydrosilylation step.
Karstedt catalyst in tetravinyltetramethylcyclotetrasiloxane and rhodium hydrosilylation catalysts can help improve poison resistance.
Poisoning is not always bad and can sometimes modify the activity and selectivity in a beneficial way.
What are the best reaction conditions for hydrosilylation catalysed by Karstedt catalyst?
Karstedt catalyst is active over a wide range of conditions, which will depend on your particular reaction and application. As a starting point, we suggest:
- Pt loading 100 ppm
- Reaction temperature 20-200 °C
- No solvent or toluene, xylene, hydrocarbons, ethers or siloxanes
As hydrosilylation performance is sensitive to the reagents and conditions used, we do not supply test data unless under an non-disclosure agreement with a specific customer.
Is there a hydrosilylation catalyst more stable to high temperatures than the Karstedt catalyst?
Platinum dodecene chloride solution and platinum (cyclooctadiene) dichloride are more thermally stable than the Karstedt catalyst and can be used for difficult hydrosilylation reactions with a sustained high temperature. Platinum dodecene chloride is orange-brown and will affect the colour of the final product.
Get in touch




