Contact Us
Catalogue Number: Pd-105
CAS Number: 29964-62-3
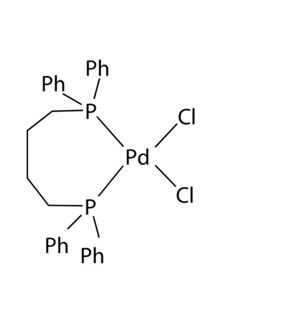
Description: PdCl2 (dppb)
Formula: C28H28Cl2P2Pd
Molecular Weight: 603.80
Metal: Pd
Metal %: 17.62%
Long Description: dichloro[1,4-bis(diphenylphosphino)butane] palladium (II)